82 字
1 分钟
word 公式转换小技巧
1.AxMath公式和latex公式转换
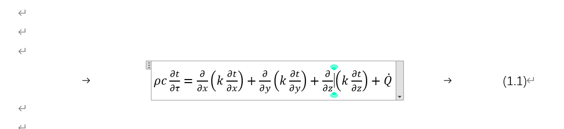
首先在word中插入axmath公式如图
然后将axmath公式转换为latex代码
得到latex代码如下
删除首尾符号$$后点击公式
再点击转换即可
得到结果

2.关于公式中「线性」和「专业」的区别

word 公式转换小技巧
https://fuwari.vercel.app/posts/word-公式小技巧/ 首先在word中插入axmath公式如图
然后将axmath公式转换为latex代码
得到latex代码如下
删除首尾符号$$后点击公式
再点击转换即可
得到结果

